EN

从光谱中读懂土壤:基于高光谱与多尺度特征的碳含量预测

发布者: 发布时间:2024-12-25

应用方向

高光谱成像技术在本研究中的应用方向是土壤碳含量预测。通过多尺度的空间和光谱特征融合,该研究旨在提升土壤碳含量预测的精度和稳定性。这种方法结合了高光谱影像中不同尺度的光谱和空间信息,提出了一个多尺度的光谱和空间特征网络(SpeSpaMN)模型,有助于在大范围和快速采集土壤碳含量数据的应用。

背景

土壤碳是生态系统碳循环的重要组成部分,对气候变化和碳汇评估具有关键作用。传统的土壤碳测量方法精度高,但只能进行点测量,无法满足大范围、快速获取数据的需求。因此,高光谱成像技术逐渐应用于土壤碳含量预测,它可以在大尺度范围内采集丰富的光谱和空间信息,适合于现场数据收集。然而,当前大多数基于高光谱图像的土壤碳预测方法主要依赖于光谱信息,忽视了空间信息的融合,无法充分揭示数据的内在结构特征。为解决这一问题,研究提出了一种结合多尺度光谱和空间特征的深度学习方法,旨在提高土壤碳含量预测的准确性和稳定性。

实验设计

1.1.材料与方法
(1)样本准备
试验样品采自中国青岛内陆、鳌山湾和胶州湾的0 ~ 20 cm表层土壤。图1为土壤取样位置图。内陆、鳌山湾和胶州湾以棕壤、盐土和潮土为代表,以山地土、湿地土和滨海土为典型。棕壤是青岛内陆地区分布最广、最广泛的土壤类型,主要分布在山地丘陵和山前平原。因此,收集山地土壤和河滨土壤可以代表青岛的内陆土壤。
图1. 土壤取样位置图
(2)高光谱图像采集与化学分析
采用“GaiaField”高光谱成像系统(GaiaField-V10E,江苏通宝TB888科技有限公司)获取土壤样品的HSI。光谱范围为400 ~ 1000 nm,光谱采样间隔为3.2 nm。为了方便查看每个样地的土壤光谱,对每个土壤样品的高光谱数据进行平均处理,内陆、鳌山湾和胶州湾土壤样品的平均反射光谱如图2所示。
图2. 以内陆、敖山湾、胶州湾土壤样品的高光谱图像和平均反射率光谱采集为例
采用Perkin - Elmer 2400元素分析仪测定土壤碳含量。三个样地测得的土壤碳含量统计结果如表1所示。
1.2.结果与讨论
(1)模型参数设置
在鳌山湾和胶州湾的HSI中,每个像元的光谱波段为360,三个样图模型的学习率设为1e-2,权值衰减设为1e-6,采用自适应矩估计(Adam)进行优化,批大小设为16。迭代次数设置为10 ~ 200次,间隔为10,分别计算内陆、鳌山湾和胶州湾的R2p、RMSEP和RPD。不同迭代SpeMN的预测评价结果如图3所示。在SpeMN中,当内陆湾、鳌山湾和胶州湾土壤样品的迭代次数分别为50、70和20次时,R2p和RPD值*大,RMSEP最小,预测效果*好。
图3. 多尺度光谱特征网络不同迭代的预测评价结果(a)内陆,(b)鞍山湾,(c)胶州湾
三个样本图模型的学习率设为1e-2,权值衰减设为1e-6,采用随机梯度下降法(SGD)进行优化,批大小设为16。迭代次数设置为10 ~ 200次,间隔10次,分别计算3个样地的R2p、RMSEP和RPD。不同迭代SpaMN的预测评价结果如图3所示。在SpaMN中,当内陆湾、鳌山湾和胶州湾土壤样品的迭代次数分别为160次、100次和80次时,R2p和RPD值*大,RMSEP最小,预测效果*好。
图4. 多尺度空间特征网络不同迭代的预测评价结果(a)内陆,(b)鞍山湾,(c)胶州湾
内陆湾、鳌山湾和胶州湾不同分段区块数和辍学率的预测结果表明,当内陆区分段块数为3个,辍学率为0.6时,预测效果*好。鳌山湾在分段区块数为3、drop - out概率为0.9时,预测效果*好。在胶州湾,当分段块数为2个,drop - out概率为0.8时,预测效果*好。
(2)多尺度空间与光谱特征融合方法与传统方法的实验比较
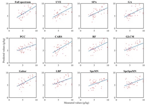
将内陆湾、鳌山湾和胶州湾土壤样品按序列顺序按2:1的比例划分为校准集和预测集。将高光谱数据归一化后,利用SpeMN提取光谱特征,利用SpeSpaMN提取光谱特征和空间特征,建立3个样地的土壤碳含量模型。无信息变量消*法(UVE)、逐次投影算法(SPA)、遗传算法(GA)、pearson相关系数(PCC)、竞争自适应重加权采样(CARS)和随机蛙(RF)是常用的光谱特征提取方法。灰度共生矩阵(GLCM)、Gabor和局部二值模式(LBP)是常用的低层次空间特征提取方法。因此,分别采用6种光谱特征提取方法、3种低水平空间特征提取方法结合全光谱建立PLSR土壤碳含量模型。对3个样地的多种特征提取方法的预测结果进行比较。 内陆地区多种特征提取方法对土壤碳含量实测值与预测值的拟合结果如图5-7所示。
图5. 内陆地区土壤碳含量实测值与预测值的多特征提取拟合结果
图6. 敖山湾土壤碳含量实测值与预测值的多特征提取拟合结果
图7. 胶州湾土壤碳含量实测值与预测值的多特征提取拟合结果
在内陆地区多种特征提取方法的土壤碳含量预测结果中,基于RMSEP和RPD分析,除PCC和RF外,其他特征提取方法均优于全谱预测结果。SPA、PCC、SpeMN和SpeSpaMN的R2p、RMSEP和RPD均优于全谱。SpeSpaMN预测准确率最高。各方法的预测准确度由高到低依次为:SpeSpaMN、SpeMN、CARS、SPA、UVE、GLCM、LBP、Gabor、GA、全光谱、RF和PCC。与现有的仅提取光谱特征和仅提取空间特征的方法相比,利用SpeMN和SpeSpaMN提取高光谱特征信息可以提高内陆土壤碳含量模型的精度。特别是,SpeSpaMN的预测结果RPD值为2.259,从单纯的粗略碳含量预测提高到准确的碳含量预测。
在鳌山湾多种特征提取方法的土壤碳含量预测结果中,基于3个评价标准分析,除GA和PCC外,其他特征提取方法均优于全光谱预测。在提取光谱特征的方法中,RF预测精度最高。在3种仅提取空间特征的方法中,R2p与RF基本一致,RMSEP值低于6种仅提取光谱特征的方法,RPD值高于6种仅提取光谱特征的方法。预测效果*好的是LBP。各方法的预测准确度由高到低依次为:SpeSpaMN、SpeMN、LBP、Gabor、GLCM、RF、UVE、SPA、CARS、Full-spectrum、PCC、GA。SpeSpaMN显著提高了鳌山湾土壤碳含量的预测精度,实现了对土壤碳含量更准确的预测。
在胶州湾多种特征提取方法的土壤碳含量预测结果中,全光谱预测精度较差。仅提取光谱特征后,基于对RMSEP和RPD的分析,除PCC外,所有光谱特征提取方法均优于全光谱。通过对R2p的分析,发现全光谱的R2p*好。在3种仅提取空间特征的方法中,只有Gabor的预测结果优于全光谱和6种光谱特征提取方法的预测结果。各方法的预测准确度由高到低依次为:Gabor、SpeSpaMN、UVE、SPA、RF、CARS、GA、Full-spectrum、PCC、GLCM、SpeMN、LBP。SpeMN的预测精度不如全谱。与全谱相比,SpeSpaMN降低RMSEP,增加RPD,但R2p低于全谱。虽然一些特征提取方法可以提高胶州湾土壤碳含量的预测精度,但其提高程度有限,两种特征提取方法都不能较好地预测土壤碳含量。
在3个样地中,基于SpeSpaMN的土壤碳含量预测效果*好,其次是SpeMN。与HSI全谱相比,内陆、鳌山湾和胶州湾样品的RPD分别提高了47.36%、37.96%和4.30%。将不同回归方法的预测精度与SpeMN和SpeSpaMN进行比较。将3个样地的土壤样品按序列号顺序按2:1的比例划分为校准集和预测集。将高光谱数据归一化后,利用SpeMN和SpeSpaMN建立3个样地的土壤碳含量模型,并与主成分回归(PCR)、偏最小二乘回归(PLSR)、最小二乘支持向量机(LSSVM)、反向传播神经网络(BPNN)、长短期记忆(LSTM)和卷积神经网络(CNN)建立的土壤碳含量预测结果进行比较。通过多种建模方法对三个样地土壤碳含量的预测结果如表2所示。
表2 不同建模下的土壤碳含量预测结果
在内陆地区多种建模方法的土壤碳含量预测结果中,LSTM在PCR、PLSR、LSSVM、BPNN、LSTM和CNN中预测效果*好。对比6种方法,SpeMN方法优于LSTM方法。使用SpeSpaMN方法对土壤碳含量的预测结果有明显改善,优于其他方法,可以更准确地预测土壤碳含量。利用SpeMN和SpeSpaMN提取高光谱特征信息可以不同程度地提高内陆土壤碳含量的预测精度。
在鳌山湾多种建模方法的土壤碳含量预测结果中,除BPNN外,PCR、PLSR、LSSVM、LSTM和CNN均能较好地预测土壤碳含量。与其他5种方法相比,SpeMN模型的预测效果进一步提高。SpeSpaMN预测效果*好。SpeMN可以改善鳌山湾土壤碳含量模型的预测结果,SpeSpaMN显著提高了预测效果。
在胶州湾多种建模方法的土壤碳含量预测结果中,LSSVM的预测效果*好。SpeMN模型的预测效果仅优于PCR、BPNN和CNN。SpeSpaMN优于PCR、PLSR、BPNN、LSTM和CNN,略逊于LSSVM。在胶州湾土壤碳含量模型中,两种模型均不能很好地预测土壤碳含量。SpeMN和SpeSpaMN的预测效果略有提高。
通过对3个样地多模型土壤碳含量预测结果的分析,对于现有方法建立的预测结果一般且较好的模型,SpeMN和SpeSpaMN均能不同程度地提高预测效果。采用SpeMN和SpeSpaMN建立土壤碳含量模型,分别采用KS法和SPXY法按2:1的比例对校正集和预测集进行划分,并与PCR、PLSR、LSSVM、BPNN、LSTM和CNN模型进行比较。
在KS法和SPXY法的预测结果中,SPXY法在3个样地的预测结果优于KS法。这是因为SPXY方法在划分校准集和预测集时考虑了每个样品的碳含量,划分后的校准集在分布上更具代表性,因此预测效果更好。以内陆样本为例,从两种划分方法的主成分空间分布图(图8)可以看出,用SPXY划分的校准集和预测集样本分布均匀,更有利于模型的建立。在不同定标集和预测集划分方法的土壤碳含量预测结果中,SpeMN和SpeSpaMN在各样地的预测结果均优于其他6种方法,其中SpeSpaMN的预测效果*好。无论采用哪种分割方法,SpeMN和SpeSpaMN的预测效果*好,验证了SpeMN和SpeSpaMN方法的准确性和稳定性。
图8. 由KS和SPXY划分内陆校正集和预测集的主成分空间分布图

结论

以内陆、鳌山湾和胶州湾土壤样品的高光谱图像为例,提出了多尺度光谱特征网络(SpeMN)和多尺度光谱与空间特征网络(SpeSpaMN),建立了3个样地的土壤碳含量模型。SpeMN以多尺度的光谱向量作为输入,获取多尺度的光谱特征,实现了不同尺度特征之间的互补。SpeSpaMN在SpeMN的基础上融合了多尺度空间特征网络,既提取了多尺度光谱特征信息,又提取了不同尺度的HSI空间背景特征。3个样地中,SpeSpaMN对土壤碳含量的预测效果*好,SpeMN次之。SpeSpaMN在内陆、鳌山湾和胶州湾样品中的RPD分别为2.259、3.311和1.238,分别比高光谱全光谱图像高47.36%、37.96%和4.30%。通过比较不同的特征提取方法、不同的回归方法、不同的校正集和预测集划分方法,进一步验证了SpeMN和SpeSpaMN的准确性和稳定性。本文能够有效解决高光谱图像土壤碳含量预测中空间特征与光谱特征的深度融合问题,从而提高土壤碳含量预测的准确性和稳定性,促进高光谱图像土壤碳含量预测的应用和发展,并为碳循环和碳汇的研究提供技术支持。

推荐产品

作者简介

参考文献

论文引用自一区文章:Xueying Li, Zongmin Li, Huimin Qiu, Guangyuan Chen, Pingping Fan, Yan Liu. Multi-scale spatial and spectral feature fusion for soil carbon content prediction based on hyperspectral images. Ecological Indicators. Volume 160, 2024, 111843. http://doi.org/10.1016/j.ecolind.2024.111843.

服务网络

  • 江苏通宝TB888科技有限公司

    地址:无锡市梁溪区南湖大道飞宏路58-1-108

    电话:13810664973

    邮箱:info@xpjxsb.com

  • 北京办事处

    地址:北京市海淀区中关村大街19号

    电话:13810664973

    邮箱:info@xpjxsb.com

  • 西安办事处

    地址:陕西省西安市高新区科技一路40号盛方科技园B座三层东区

    电话:13810664973

    邮箱:info@xpjxsb.com

  • 成都

    地址:成都市青羊区顺城大街206号四川国际大厦七楼G座

    电话:13810664973

    邮箱:info@xpjxsb.com

  • 深圳办事处

    地址:深圳市龙华区民治梅龙路
    电话:13810664973
    邮箱:info@xpjxsb.com
高光谱成像仪_高光谱相机_高光谱成像系统解决方案-江苏通宝TB888科技有限公司 无锡市梁溪区南湖大道飞宏路58-1-108 13810664973 ICP备案号:苏ICP备72454506号-1

销售直拨:13810664973

回顶
通宝TB888
      网站地图