• EN

    基于高光谱成像技术结合数据融合策略的鸡肉多品质快速定性评价

    发布者: 发布时间:2023-08-03

    引言:

    鸡肉因其富含较高的蛋白质含量、易于人体消化、鸡肉口感好,它已经成为*受消费者欢迎的肉制品之一。在生产、运输、销售和储藏过程中鸡肉容易变质,吃变质的鸡肉可能会引起不良的健康反应和疾病。因此,鸡肉品质和安全受到了越来越多的关注。鸡肉的变质是由于酶和细菌的作用,在腐败过程中使蛋白质分解而产生氨以及胺类等碱性含氮等物质,这些物质可以统称为挥发性盐基氮(TVB-N)。因此,可用TVB-N含量判断肉类的新鲜程度,其被认为是监测肉类质量的最重要和最常用的指标之一。另外,肉类的高水分含量有助于腐败微生物的生长;检测肉类中的微生物含量并及时进行测量可以有效控制微生物引起的腐败。因此,代表微生物生长的菌落总数含量(TVC)也是控制和评估肉类质量的重要指标。本研究利用高光谱成像技术结合数据融合策略开发了鸡肉TVB和TVC含量的快速、无损准确检测方法。

    样本制备及其光谱数据提取:

    该研究从广州当地市场随机购买了100只新鲜的鸡胸脯肉,用无菌刀具从鸡胸脯肉中心切下约30mm×30mm×20mm的立方体,共得到240个新鲜鸡肉样品。然后,将所有样品均单独放置在无菌一次性塑料盒中并贴上标签。最后,将样品储藏在4℃的环境下,在储藏的第0、2、4、6、8、10、12和14天随机抽取了30个样品用于高光谱图像采集和其对应的理化值(TVB和TVC)测定。其中,利用了GaiaField-Pro-V10E型和GaiaField-Pro-N17E型高光谱相机采集了不同储藏期鸡肉样品的高光谱图像,使用图像处理技术提取了鸡肉样品区域的平均光谱数据,光谱数据提取流程如图1所示。

    图1 光谱数据提取流程

    数据处理与结果分析:

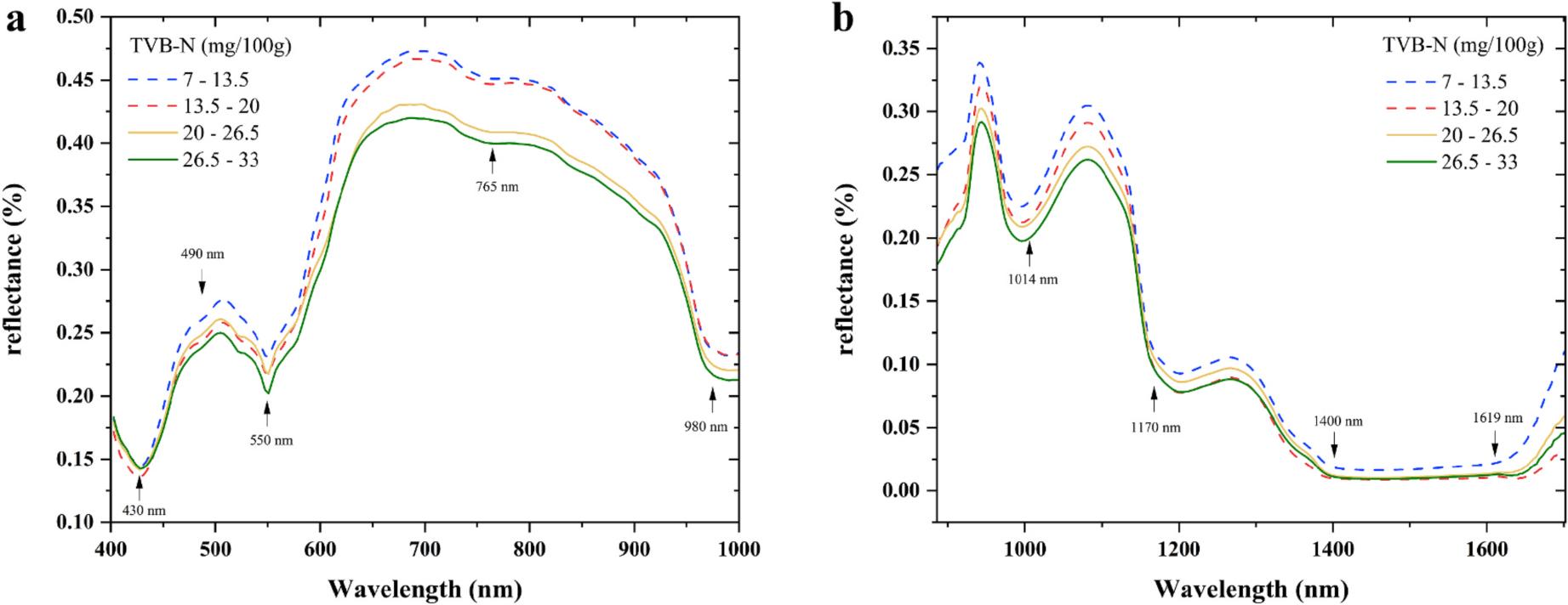
    1)鸡肉TVB和TVC含量统计及光谱分析。在储藏期14天内,鸡肉样品的TVB-N和TVC含量变化如图2所示,TVB-N含量和TVC含量变化都呈现逐渐上升的趋势。以TVB-N含量的四个不同范围为例,分别绘制了Vis-NIR和NIR范围的平均光谱曲线,如图3所示。从图中可以发现随着鸡肉样品中TVB-N含量的增加,光谱曲线整体趋势向下移动,表明腐败程度较高的鸡肉反射率较低。

    图2 鸡肉样本TVB-N和TVC含量的变化(储藏期14天)

    图3 TVB-N含量不同范围的平均光谱曲线(a:Vis-NIR,b:NIR)

    2)数据融合策略。该研究采用了低级融合方法(LLF)和中级融合方法(ILF)分别对鸡肉的Vis-NIR和NIR光谱范围的数据进行了融合,数据融合过程如图4所示。其中,低级融合方法是指对Vis-NIR和NIR范围的光谱数据进行串行拼接;中级融合方法是指分别提取Vis-NIR和NIR范围的特征并进行串行拼接。然后,将单数据(Vis-NIR、NIR)、LLF融合数据和ILF数据融合分别用于建立鸡肉的TVB-N含量和TVC含量预测模型。

    图4 数据融合过程

    3)光谱数据预处理及结果分析。由于光谱数据包含仪器和检测条件引起的噪声和杂散光等干扰信息,该研究利用了高斯滤波平滑(GFS)、Savitzky–Golay平滑(SGS)方法、最小二乘拟合导数系数、一阶导数(FD)、二阶导数(SD)和标准正态变换等七种不同预处理方法分别对Vis-NIR、NIR和LLF的全光谱数据进行了预处理并建立了PLSR模型。根据校正集、交叉验证集和测试集的决定系数(RC2、RCV2和RP2)、以及均方根误差(RMSEC、RMSECV和RMSEP)分别确定了Vis-NIR、NIR和LLF光谱数据对TVB-N含量的*佳预处理方法为SNV、SD和SD,TVC含量的*佳预处理方法为Nor、GFS和NOR;并使用*佳预处理方法进行后续的研究。

    4)单数块(Vis-NIR、NIR)建立的PLSR模型分析。该研究使用了连续投影算法(SPA)、竞争性自适应加权算法(CARS)、随机森林(RF)、遗传算法(GA)和变量组合集群分析法联合遗传算法(VCPA-GA)五种特征提取方法分别提取了Vis-NIR、NIR光谱范围的特征波长,并建立PLSR模型预测鸡肉的TVB-N含量和TVC含量,建模结果如表1所示。对于鸡肉的TVB-N含量预测而言,使用GA方法提取NIR光谱范围内的87个特征波长建立的模型预测TVB-N含量精度*高,其RP2和RMESP分别为0.8346,2.8910,这与全光谱建模的结果相似,而与256个全光谱波长相比,波长数量减少了近66.02%。对于鸡肉的TVC含量预测而言,使用CARS方法提取NIR光谱范围内的86个特征波长建立的模型预测TVB-N含量精度*高,其RP2和RMESP分别为0.9143,0.1976,这与全光谱建模的结果相似,而与256个全光谱波长相比,波长数量减少了近66.40%。总的来说,尽管特征波长提取方法没有显著改善模型的预测性能,但它显著减少了波长的数量,这是非常有意义的。

    表1 单数据(Vis-NIR、NIR)的PLSR模型比较

    5)融合数据(LLF、ILF)建立的PLSR模型分析。融合数据(LLF、ILF)建模结果如表2所示,在LLF低级融合策略中对于鸡肉的TVB-N含量预测而言,使用VCPA-GA方法提取的34个特征波长建立的模型预测TVB-N含量精度*高,其RP2和RMESP分别为0.8514,2.7397。对于鸡肉的TVC含量预测而言,使用CARS方法提取的116个特征波长建立的模型预测TVC含量精度*高,其RP2和RMESP分别为0.9275,0.1889。在ILF中级融合策略中对于鸡肉的TVB-N含量预测而言,使用VCPA-GA方法提取的88个特征波长建立的模型预测TVB-N含量精度*高,其RP2和RMESP分别为0.8653,2.6094。对于鸡肉的TVC含量预测而言,使用GA方法提取的100个特征波长建立的模型预测TVC含量精度*高,其RP2和RMESP分别为0.9176,0.1998。总之可以得出结论,使用融合数据(LLF、ILF)建立的PLSR模型都优于单数块(Vis-NIR、NIR)的预测精度。其中,使用中级融合数据(VCPA-GA方法)建立的PLSR模型预测TVB-N含量精度*佳;使用低级融合数据(CARS方法)建立的PLSR模型预测TVC含量精度*佳。

    表2 融合数据(LLF、ILF)的PLSR模型比较

    6)鸡肉TVB-N含量和TVC含量可视化。该研究利用*佳模型构建TVB-N含量和TVC含量的可视化分布图。四种不同TVB-N含量的鸡肉样品的可视化分布图如图5上半部分所示。同时,图5的下半部分显示了四种不同TVC含量的鸡肉样品的可视化分布图。从图中可以直观地看到鸡肉的TVB-N含量和TVC含量变化。TVB-N含量从图5a~5d逐渐增加,可视化分布图的红色区域也逐渐增加;TVC含量的变化也具有类似趋势,如图5e~5h所示。总的来说,以可视化分布图的形式表示鸡肉的质量指标有助于企业更准确地分割鸡肉,并让消费者更快速的地了解鸡肉质量,这是高光谱成像技术相对于其他无损检测技技术的最大优势。

    图5 TVB-N和TVC含量从低到高的可视化和分布图

    论文摘自SCI一区文章:Xiaoxin Li, Mingrui Cai, Mengshuang Li, et al. Combining Vis-NIR and NIR hyperspectral imaging techniques with a data fusion strategy for the rapid qualitative evalsuation of multiple qualities in chicken [J], Food Control, Volume 145(2023):109416.http://doi.org/10.1016/j.foodcont.2022.109416.

    服务网络

    • 江苏通宝TB888科技有限公司

      地址:无锡市梁溪区南湖大道飞宏路58-1-108

      电话:13810664973

      邮箱:info@xpjxsb.com

    • 北京办事处

      地址:北京市海淀区中关村大街19号

      电话:13810664973

      邮箱:info@xpjxsb.com

    • 西安办事处

      地址:陕西省西安市高新区科技一路40号盛方科技园B座三层东区

      电话:13810664973

      邮箱:info@xpjxsb.com

    • 成都

      地址:成都市青羊区顺城大街206号四川国际大厦七楼G座

      电话:13810664973

      邮箱:info@xpjxsb.com

    • 深圳办事处

      地址:深圳市龙华区民治梅龙路
      电话:13810664973
      邮箱:info@xpjxsb.com
    高光谱成像仪_高光谱相机_高光谱成像系统解决方案-江苏通宝TB888科技有限公司 无锡市梁溪区南湖大道飞宏路58-1-108 13810664973 ICP备案号:苏ICP备72454506号-1

    销售直拨:13810664973

    回顶
    通宝TB888
        网站地图