近日,杭州师范大学副研究员方美红(第一作者)与南京大学居为民教授(通讯作者)发表了题为“A Normalized Spectral Angle Index for Estimating the Probability of Viewing Sunlit Leaves from Satellite Data”的论文,值得一提的是,该论文中用到的高分辨率成像数据是由本公司所售光谱相机GaiaField-F-V10测量得到。
在利用遥感数据和技术获取植被冠层结构和叶片生化参数特征的研究中,利用光学遥感数据,不可避免会遇到的一个问题就是BRDF效应。BRDF效应产生的根本原因是,不同观测几何条件下看见的地物分量比例变化了,针对植被像元而言,主要是4个分量:光照的冠层(阳叶),阴影里的冠层(阴叶),光照的地面背景和阴影里的地面背景。光照与阴影植被冠层和背景分离是植被参数定量遥感反演的需要。阳叶可视概率(PT)是影响观测到的冠层光谱的一个重要变量。准确确定像元PT值是遥感定量反演和估算植被参数的必要条件。因此本研究为解决这一问题,发展了一种新的基于光谱指数的像元PT估算方法,可以直接应用于卫星遥感影像。我们根据叶片和土壤背景的光谱形状,提出了一个新的指数:以近红外(NIR)波长和反射率为顶点的归一化光谱角度指数(NSAI)。然后,利用一个近地面高分辨率成像数据集、两个卫星模拟数据集和一个星-地同步观测数据集评估NSAI在估计PT方面的性能。
高分辨率成像数据是我们利用光谱相机GaiaField-F-V10测量的可见光(VIS)到近红外(NIR)光谱区域的冠层光谱数据(如图1所示),在全光谱分辨率下,最大半高宽(FWHM)和光谱采样间隔(SSI)分别约为2.8 nm和0.42 nm,信噪比为200:1。获得的全分辨率图像,扫描面积约为2 × 1.6 m2。获取目标地物的像元空间分辨率大约为1.5 mm。为了确保相似的图像大小,在观测实验过程中,图像是在恒定的高度上获取的。为了避免光照条件突变,每张图像在2分钟内观测完成,所有测量都是在无云的晴空下进行的。

图1近地面高分辨率成像数据集的观测系统的现场照片和植被成像光谱数据实例。(a)光谱相机GaiaField-F-V10安装在固定的轨道臂上,并提升到距离冠层顶部约2米的高度。(b)不同光照条件下的真彩色合成影像示例,按低(第一行)、中(第二行)和高(第三行)覆盖度进行分类。
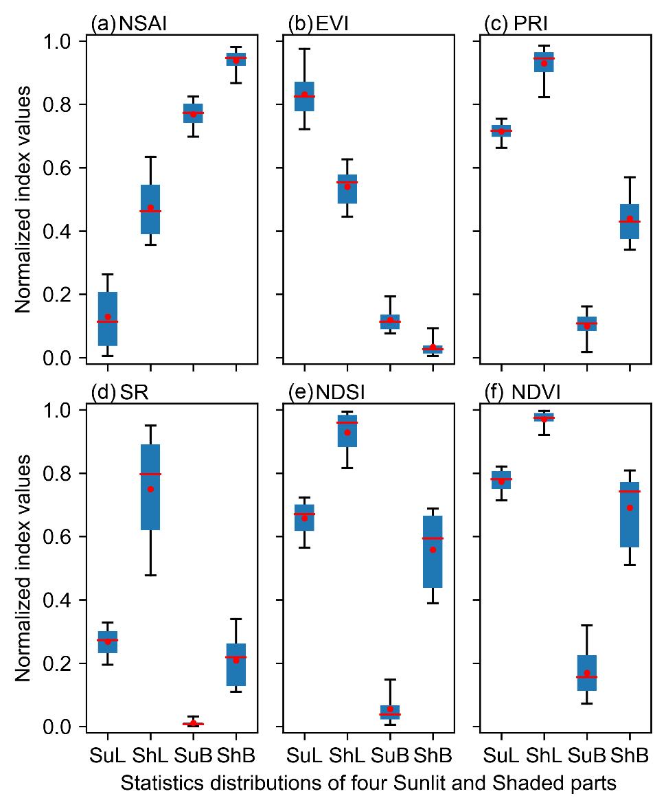
为了验证和评估归一化光谱角度指数(NSAI)在估算PT方面的性能,我们选取了增强型植被指数(Enhanced Vegetation Index, EVI)、归一化差分光谱指数(Normalized Difference spectral Index, NDSI)、归一化差分植被指数(Normalized Difference Vegetation Index, NDVI)、简单比值指数(Simple Ratio Index, SR)和光化学反射指数(Photochemical Reflectance Index, PRI)等5个常用的光谱指数进行对比研究。以高分辨率影像数据的监督分类结果为基础,分析阳叶(SuL)、阴叶(ShL)、光照背景(SuB)和阴影背景(ShB)的6个光谱指数的箱形图(图2),结果表明NDVI、SR和NDSI这三个指数在光照和阴影分量上值域重叠。而NSAI、EVI和PRI这三个指数可以有效区分以上4个分量。因此,选择NSAI、EVI和PRI这三个指数作为构建PT估算模型的候选指数,进一步验证和评估。

图2阳叶(SuL)、阴叶(ShL)、光照背景(SuB)和阴影背景(ShB)的6个光谱指数的箱形图:不同光谱指数都归一化到0~1的范围。红色点表示指数均值,红色线表示中位数,蓝色框表示[25%,75%]百分位数,黑色须分别表示5%和95%百分位数。以上统计特征值根据高分辨率影像数据的监督分类结果计算获得。
对比监督和非监督分类结果(图3),发现基于NSAI指数的非监督分类结果的总体kappa系数高于EVI,而PRI的kappa系数最低。但NSAI、EVI和PRI这三个指数都能够有效区分4个分量,都具备获取PT信息的潜在能力。

图3阳叶(SuL)、阴叶(ShL)、光照背景(SuB)和阴影背景(ShB)的高分辨率影像分类结果图,(a)高分辨率成像数据的真彩色合成图(TCC),(b-d) NSAI、EVI和PRI指数图像,(e)高分辨率图像的监督分类结果,(f-h)分别基于NSAI、EVI和PRI指数图像的非监督分类结果,(i-l)非监督分类结果和参考值(即监督分类结果,假设监督分类结果代表真实值)的kappa系数。
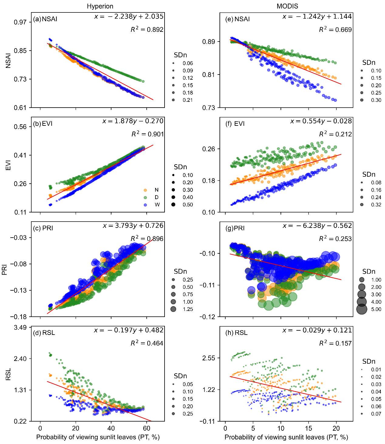
图4显示在Hyperion和MODIS模拟数据集上,均可发现NSAI与PT呈显著线性相关,EVI和PRI也与PT有很强的相关性,但是,在给定的PT值下,它们的SDn值大于NSAI,这表明NSAI估计PT的能力对叶片光谱变化最不敏感。此外,在两个模拟数据集上,基于PRI的散点图分布比NSAI和EVI更为紧凑和聚集,表明PRI估计PT的能力对土壤背景的敏感性较低。然而,在已知土壤背景类型的情况下,NSAI估计PT值的表现*好。说明基于NSAI构建的PT估算经验模型具有较好的稳定性,对叶片光谱和地面背景光谱的变化相对不敏感。

图4模拟的Hyperion(a-d)和MODIS(e-h)场景下,NSAI、EVI、PRI和RSL(红波段上冠层反射率与叶片反射率的比值)指数与PT的相关性,点的颜色表示不同土壤类型:正常土壤(N,橙色点)、干土壤(D,绿色点)、湿土壤(W,蓝色点)。Hyperion样本数量为13,950,144个,其中模拟场景数量为10,764;MODIS样本数量为3,732,480个,模拟场景数为2,880个;每个点代表432个具有不同叶片光谱和相同PT的样本的平均值,点的半径为具有相同PT的432个样本中对应指数的归一化标准差SDn值。
将利用模拟数据校准的基于NSAI的PT估算模型应用于高光谱-高空间分辨率的Hyperion数据时,估计的PT的归一化均方根误差(nRMSE)和调整R2分别为14.9%和0.744。应用于中分辨率的MODIS影像时,PT的估计精度也非常令人满意,nRMSE为18.71%,调整R2为0.67(图5)。表明NSAI有巨大希望应用于卫星影像直接估算PT,提高植被参数的反演精度。

图5星-地同步观测数据集中33个Hyperion像元(a-d)和12个MODIS像元(e-h)上基于NSAI、EVI、PRI和RSL指数的模型估算的PT值与利用4-Scale模型反演的参考值的比较。红色直线为1:1线。
小结
光照与阴影植被冠层和背景分离是植被参数定量遥感反演的需要。阳叶可视概率(PT)是影响观测到的冠层光谱的一个重要变量。准确确定像元PT值是遥感定量反演和估算植被参数的必要条件。本研究发展了一种新的基于光谱指数的像元PT估算方法,可以直接应用于卫星遥感影像。我们根据叶片和土壤背景的光谱形状,提出了一个新的指数:以近红外(NIR)波长和反射率为顶点的归一化光谱角度指数(NSAI)。然后,利用一个近地面高分辨率成像数据集、两个卫星模拟数据集和一个星-地同步观测数据集评估NSAI在估计PT方面的性能。结果表明,NSAI比增强型植被指数(Enhanced Vegetation Index, EVI)、归一化差分光谱指数(Normalized Difference spectral Index, NDSI)、归一化差分植被指数(Normalized Difference Vegetation Index, NDVI)、简单比值指数(Simple Ratio Index, SR)和光化学反射指数(Photochemical Reflectance Index, PRI)等5种常用的光谱指数更适合直接估算卫星遥感影像像元的PT值。NSAI不仅可以有效地区分光照和阴影的冠层与背景,而且NSAI与像元PT呈显著的线性相关。基于NSAI构建的PT估算经验模型具有较好的稳定性,对叶片光谱和地面背景光谱的变化相对不敏感。更为重要的是,模型具有极佳的可移植性,利用模拟数据校准的基于NSAI的PT估算模型可以直接应用于遥感观测数据。应用于高光谱-高空间分辨率的Hyperion数据时,估计的PT的归一化均方根误差(nRMSE)和调整R2分别为14.9%和0.744。应用于中分辨率的MODIS影像时,PT的估计精度也非常令人满意,nRMSE为18.71%,调整R2为0.67。结果表明NSAI有巨大希望应用于卫星影像直接估算PT,提高植被参数的反演精度。
作者简介
第一作者 方美红,博士,杭州师范大学信息科学与技术学院副研究员,硕士生导师。目前为杭州师范大学遥感与地球科学研究院、浙江省城市湿地与区域变化研究重点实验室研究人员,主要从事植被生化参数遥感定量反演研究。作为负责人主持的项目有**自然科学基金青年基金项目、中国博士后面上基金、江苏省博士后科研资助和日常资助项目等。曾在《Remote Sensing of Environment》、《IEEE Transactions on Geoscience and Remote Sensing》、《Terrestrial Atmospheric & Oceanic Sciences》、《光谱学与光谱分析》、《生态学报》等国内外学术期刊上发表论文10余篇。先后获得杭州师范大学“**班主任”、“**综合指导教师”等荣誉称号。
通讯作者 居为民,南京大学二级教授、博士生导师。主要研究方向包括:植被参数遥感反演、生态模型开发及应用、陆地生态系统碳通量优化计算同化等。近年来,主持承担“全球变化与应对”**重点研发计划项目、全球变化重大科学计划项目课题和**自然科学基金面上项目等科研项目10余项。在《Science》、 《Nature子刊》、《Remote Sensing of Environment》、《Global Biogeochemical Cycles》、《Agricultural and Forest Meteorology》和《Journal of Geophysical Research》等刊物发表SCI论文180多篇;两次入选江苏省“333”人才工程,6次获得省部级科技奖励;现任《Journal of Geophysical Research-Biogeosciences》期刊Associate Editor。
欢迎下载浏览:M. Fang et al., "A Normalized Spectral Angle Index for Estimating the Probability of Viewing Sunlit Leaves From Satellite Data," in IEEE Transactions on Geoscience and Remote Sensing, vol. 61, pp. 1-19, 2023, Art no. 4401519, doi: 10.1109/TGRS.2023.3249129.
地址:无锡市梁溪区南湖大道飞宏路58-1-108
电话:13810664973
邮箱:info@xpjxsb.com
地址:北京市海淀区中关村大街19号
电话:13810664973
邮箱:info@xpjxsb.com
地址:陕西省西安市高新区科技一路40号盛方科技园B座三层东区
电话:13810664973
邮箱:info@xpjxsb.com
地址:成都市青羊区顺城大街206号四川国际大厦七楼G座
电话:13810664973
邮箱:info@xpjxsb.com
地址:深圳市龙华区民治梅龙路
电话:13810664973
邮箱:info@xpjxsb.com