EN

利用高光谱成像技术早期检测茶叶白叶枯病及快速筛选抗性品种

发布者: 发布时间:2024-09-06

背景:轮斑病是*严重的茶树叶部病害之一,严重影响茶叶的产量和品质。传统的轮斑病检测方法主要依靠人工识别,存在准确率低、效率低等不足。并且,人们只能在感染后期检测到轮斑病,往往为时已晚,不利于防治。因此,如何准确的、快速的检测早期茶叶轮斑病对提高茶园经济效益至关重要。目前,高光谱成像技术具有无损、快速的分析优势,可以高通量地获得植物的空间和光谱信息,捕获由疾病引起的叶片光谱变化,在应对疾病感染的植物表型分析中具有很大潜力。

实验设计:本研究的图形摘要如图1所示。具体是,以3年生茶树枝条为研究对象(32个茶树品种),模拟了轮斑病的病原分离株(DDZ-6)侵染茶树叶片的过程;然后,利用高光谱成像设备(GaiaField Pro-V10)采集了不同感染症状叶片的光谱图像,高光谱相机捕获的图像具有1101×960(空间×光谱)像素,光谱范围在可见-近红外波段(397-1001 nm)内,测量了176个波段的光谱反射率。

图1 高光谱成像设备赋能茶树叶片轮班病监测的图形摘要

为了消*高光谱采集过程中存在的散射效应、随机噪声和系统噪声等问题的影响,利用MSC、S-G和1-D对病斑光谱进行预处理。预处理前后的光谱曲线如图2所示。

图2 原始光谱与预处理后的光谱

为了剔除无效信息,采用SUVE、CARS和SPA选择所有光谱数据中有代表性的波段作为“特征波段”(图3)。筛选出对轮斑病响应最为敏感的三个关键波段(红光区)—— 693 nm、727 nm和766 nm,为轮班病的高*检测奠定了坚实基础。

图2特征波段的筛选

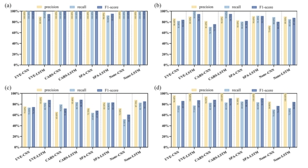
最后,利用CNN、LSTM和SVM算法建立了茶叶轮斑病的早期检测模型和抗病品种的快速筛选模型。在实验室的理想条件下,CARS-LSTM模型展现出了高达92.6%的检测准确率(图3)。在田间茶园的应用中,693 nm+727 nm结合CNN模型也达到了87.8%的优异表现,展现了强大的实用潜力。

3 不同模型对不同病情级别的分类性能

本研究利用高光谱成像设备(GaiaField Pro-V10)的先进性,成功赋能于茶园轮班病的早期检测中。无论是在实验室内的理想条件中,还是复杂多变的大田环境中,该研究均有效地检测了轮斑病,取得显著成效。该成果不仅为茶园轮斑病的早期监测构建了核心算法体系,更为轮斑病的有效控制提供了有力的技术支撑。

 

作者简介:毛艺霖,青岛农业大学,研究生,单位:山东省农科院

论文摘自,欢迎下载浏览: Mao, Y., Li, H., Xu, Y., Wang, S., Yin, X., Fan, K., Ding, Z. and Wang, Y. (2024), Early detection of gray blight in tea leaves and rapid screening of resistance varieties by hyperspectral imaging technology. J Sci Food Agric. http://doi.org/10.1002/jsfa.13756

 

服务网络

  • 江苏通宝TB888科技有限公司

    地址:无锡市梁溪区南湖大道飞宏路58-1-108

    电话:13810664973

    邮箱:info@xpjxsb.com

  • 北京办事处

    地址:北京市海淀区中关村大街19号

    电话:13810664973

    邮箱:info@xpjxsb.com

  • 西安办事处

    地址:陕西省西安市高新区科技一路40号盛方科技园B座三层东区

    电话:13810664973

    邮箱:info@xpjxsb.com

  • 成都

    地址:成都市青羊区顺城大街206号四川国际大厦七楼G座

    电话:13810664973

    邮箱:info@xpjxsb.com

  • 深圳办事处

    地址:深圳市龙华区民治梅龙路
    电话:13810664973
    邮箱:info@xpjxsb.com
高光谱成像仪_高光谱相机_高光谱成像系统解决方案-江苏通宝TB888科技有限公司 无锡市梁溪区南湖大道飞宏路58-1-108 13810664973 ICP备案号:苏ICP备72454506号-1

销售直拨:13810664973

回顶
通宝TB888
      网站地图