• EN

    遥感顶刊认证!通宝TB888机载高光谱数据助力科研成果登上《Remote Sensing of Environment》

    发布者: 发布时间:2025-10-21

    南京农业大学程涛教授团队依托通宝TB888Gaiasky-mini2-VN机载高光谱成像系统提供的精准数据,在国际顶刊《Remote Sensing of Environment》上发表了突破性研究成果,成功解决了水稻稻瘟病遥感监测中物候干扰这一核心难题。该研究不仅印证了通宝TB888机载高光谱技术在科研领域的可靠性,彰显了其在生态监测、植被研究等前沿课题中的核心支撑价值,更直观的展现了国产高光谱设备在农业遥感前沿研究中的强大支撑能力与国际影响力。

    论文链接:Xue B., Kong Y., Zarco-Tejada P.J., Tian L., Poblete T., et al., Remote Sensing of Environment, 2026, 332:115063.

    该团队基于我司无人机高光谱设备的其他相关相关论文:http://doi.org/10.1016/j.compag.2025.110458

    近日,南京农业大学程涛教授团队在国际顶*遥感期刊 Remote Sensing of Environment(中科院一区TOP期刊)发表*新研究成果,论文题为

    《Mitigating the phenological influence on spectroscopic quantification of rice blast disease severity with extended PROSAIL simulations》。
    该研究基于机载高光谱成像系统(江苏通宝TB888科技有限公司 Gaiasky-mini2-VN),提出了突破性的模型校正方法,为水稻稻瘟病的遥感监测提供了全新的解决方案。

    背景:稻瘟病遥感监测的难题

    稻瘟病是全球性重大真*病害,被称为“水稻癌症”,可导致30%以上的产量损失。传统人工调查方式费时费力、主观性强,而高光谱遥感凭借对植物光谱特征的敏感性,已成为病害监测的重要手段。然而,在实际应用中,作物生育期变化(即物候差异)常与病害光谱响应相混淆,导致病害定量估计不准确。如何在多时相、多生育期条件下稳定、准确地量化病害程度,是当前遥感病理监测领域的核心难题。

    创新点:扩展PROSAIL模型,揭示物候影响机制

    本研究首*提出了 “病害扩展PROSAIL模型(RB-extended PROSAIL)”,将稻瘟病感染程度(Disease Severity, DS)作为新的参数引入辐射传输模拟中。研究团队通过实测病斑光谱与模型混合分析,成功构建了稻瘟病叶片与冠层的光谱仿真数据集,能够在不受物候差异影响的条件下区分病害信号。

    结果显示,扩展后的模型将红光、近红外和短波红外关键波段的模拟误差分别降低了 36.3%、16.6% 和 17.5%,大幅提升了模型对病害反射特征的重现能力。

    核心成果:发现叶绿素是物候干扰的关键因素

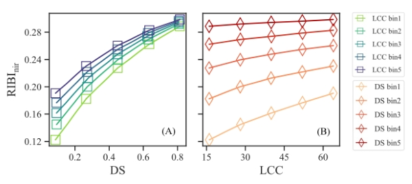
    通过灵敏度分析与因子分离(disentanglement analysis),团队发现:叶绿素含量(Leaf Chlorophyll Content, LCC)是造成病害监测误差的主控因子。稻株在不同生育期叶绿素含量差异显著,而RIBI(Rice Blast Index)这一病害指数同时对叶绿素与病斑均敏感,导致轻病样本常被误判。

    为此,研究提出了基于VOG1植被指数的归一化修正方法——nRIBInir指数,能够有效消*叶绿素对RIBI的干扰,使得稻瘟病严重度估算的R²由0.67提升至0.79,rRMSE降低9%,尤其在轻度感染样本中精度提升最为显著。

    实验设计:机载高光谱精准识别病害分布

    研究利用江苏通宝TB888科技有限公司 Gaiasky-mini2-VN 机载高光谱相机(400–1000 nm)对江苏稻田进行实地航测,并结合无人机影像构建了稻瘟病空间分布图。

    结果表明,经nRIBInir校正后的病害分布结果与地面调查高度一致,能够准确识别严重病区与感染中心,实现了从定性识别到定量评估的跨越。

    此外,该指数可灵活适配卫星(如Sentinel-2、GF-5、EnMAP等)及多光谱无人机平台,具备多尺度推广潜力,可服务于病害监测、抗性育种、精准药剂管理等多种农业应用场景。

    意义与展望

    该研究首*从机理层面揭示了作物物候对病害光谱估算的干扰机制,并提出了可量化、可修正的解决方案。

    论文成果不仅推动了病害遥感监测的精度化和标准化,也为构建“机理—模型—应用”一体化的农业智慧监测体系提供了新思路。

    本研究展示了国产高光谱设备在国际前沿科研中的强大实力也反映出我国机载高光谱成像技术在农业遥感领域已具备国际水平的应用能力。

    文章核心方法与结果的相关图表

    图1  面向稻瘟病侵染的叶片及冠层辐射传输拓展及模型评价技术流程图

    图2  重度和轻度稻瘟病侵染下植被参数对冠层反射率和稻瘟病指数的贡献度

    图3  基于模拟数据集和稻瘟病指数的病情严重度与叶绿素混杂效应解耦分析

    图4  基于稻瘟病指数归一化的叶绿素效应消*

    图5  稻瘟病指数改进前后在模拟数据集和实测数据集中的病情估算表现

    图6  稻瘟病指数改进前后的病情指数制图精度对比

    相关产品推荐:

    GaiaSky-mini3-VN高光谱成像仪

    产品特性:

    • 悬停内置推扫式成像
    • 高性能分光探测系统
    • 融合一体的软件操作界面
    •  一体化设计,便捷安装
    • 大区域高精度正射拼接

    服务网络

    • 江苏通宝TB888科技有限公司

      地址:无锡市梁溪区南湖大道飞宏路58-1-108

      电话:13810664973

      邮箱:info@xpjxsb.com

    • 北京办事处

      地址:北京市海淀区中关村大街19号

      电话:13810664973

      邮箱:info@xpjxsb.com

    • 西安办事处

      地址:陕西省西安市高新区科技一路40号盛方科技园B座三层东区

      电话:13810664973

      邮箱:info@xpjxsb.com

    • 成都

      地址:成都市青羊区顺城大街206号四川国际大厦七楼G座

      电话:13810664973

      邮箱:info@xpjxsb.com

    • 深圳办事处

      地址:深圳市龙华区民治梅龙路
      电话:13810664973
      邮箱:info@xpjxsb.com
    高光谱成像仪_高光谱相机_高光谱成像系统解决方案-江苏通宝TB888科技有限公司 无锡市梁溪区南湖大道飞宏路58-1-108 13810664973 ICP备案号:苏ICP备72454506号-1

    销售直拨:13810664973

    回顶
    通宝TB888
        网站地图